Fina Biosolutions_Functionalized Dextrans
Overview of Functionalized Dextrans
Fina Biosolutions applies its expertise in carbohydrate chemistry to provide well-characterized and unique dextran products. Products include a wide range of molecular weights and ratios of amino-dextran, monofunctionalized dextrans and multi-functionalized dextrans. We can also provide custom functionalized dextrans and derivatives. See the figure below for some of our dextran products.
Amino-Dextrans

Amino-Dextran (AmDex, AECM-dextran) consists of dextran functionalized with primary amines. (See diagram for the structure of FinaBio amino dextran.) Our AmDex is prepared from dextran using a protocol yielding a stable, amino functionalized dextran that is superior to the more commonly used reductive amination methods. The molecular weight profile of Fina Biosolutions’ AmDex is essentially unchanged from the starting dextran, as determined by analytical size exclusion chromatography. The product is desalted and lyophilized. We do extensive processing and testing to ensure that free amino reagent is removed, resulting in a consistent product with minimal lot-to-lot variation.
We have found that many commercial lots of amino-dextran contain variable amounts of dextran and that the amine content is often incorrect. Furthermore, the actual polymer molecular weight distributions of these preparations can vary extensively from the indicated molecular weight. These issues can mean that optimization data is based on incorrect information. Lot-to-lot variations means that protocols may need to be revised when a new lot of AmDex is used.
Please contact us if you need a ratio that is not listed.
* Cat #: (polymer MW) x (amines/polymer)
| Cat # | Product | Size |
|---|---|---|
| AD3.5×3 | 3.5 kDa Amino Dextran | 100 mg, 500 mg |
| AD6x05 | 06 kDa Amino Dextran | 100 mg, 500 mg |
| AD10x05 | 10 kDa Amino Dextran | 100 mg, 500 mg |
| AD10x10 | 10 kDa Amino Dextran | 100 mg, 500 mg |
| AD20x5 | 20 kDa Amino Dextran | 100 mg, 500 mg |
| AD20x10 | 20 kDa Amino Dextran | 100 mg, 500 mg |
| AD20x20 | 20 kDa Amino Dextran | 100 mg, 500 mg |
| AD40x10 | 40 kDa Amino Dextran | 100 mg, 500 mg |
| AD40x20 | 40 kDa Amino Dextran | 100 mg, 500 mg |
| AD40x50 | 40 kDa Amino Dextran | 100 mg, 500 mg |
| AD70x10 | 70 kDa Amino Dextran | 100 mg, 500 mg |
| AD70x25 | 70 kDa Amino Dextran | 100 mg, 500 mg |
| AD70x50 | 70 kDa Amino Dextran | 100 mg, 500 mg |
| AD110x10 | 110 kDa Amino Dextran | 100 mg, 500 mg |
| AD110x25 | 110 kDa Amino Dextran | 100 mg, 500 mg |
| AD110x50 | 110 kDa Amino Dextran | 100 mg, 500 mg |
| AD110x100 | 110 kDa Amino Dextran | 100 mg, 500 mg |
| AD150x25 | 150 kDa Amino Dextran | 100 mg, 500 mg |
| AD150x50 | 150 kDa Amino Dextran | 100 mg, 500 mg |
| AD150x100 | 150 kDa Amino Dextran | 100 mg, 500 mg |
| AD250x10 | 250 kDa Amino Dextran | 100 mg, 500 mg |
| AD250x25 | 250 kDa Amino Dextran | 100 mg, 500 mg |
| AD250x50 | 250 kDa Amino Dextran | 100 mg, 500 mg |
| AD250x100 | 250 kDa Amino Dextran | 100 mg, 500 mg |
| AD250x150 | 250 kDa Amino Dextran | 100 mg, 500 mg |
| AD500x25 | 500 kDa Amino Dextran | 100 mg, 500 mg |
| AD500x50 | 500 kDa Amino Dextran | 100 mg, 500 mg |
| AD500x100 | 500 kDa Amino Dextran | 100 mg, 500 mg |
| AD500x250 | 500 kDa Amino Dextran | 100 mg, 500 mg |
| AD500x400 | 500 kDa Amino Dextran | 100 mg, 500 mg |
| AD2000x100 | 2000 kDa Amino Dextran | 100 mg, 500 mg |
| AD2000x250 | 2000 kDa Amino Dextran | 100 mg, 500 mg |
| AD2000x500 | 2000 kDa Amino Dextran | 100 mg, 500 mg |
| AD2000x750 | 2000 kDa Amino Dextran | 100 mg, 500 mg |
| AD2000x1000 | 2000 kDa Amino Dextran | 100 mg, 500 mg |
Amino-Ficoll

As a T-cell independent carrier (TI carrier), coupling Ficoll with haptens has been shown to produce robust antigen-specific primary immune memory1. Our method for amino functionalization yields stable primary amine groups. We carefully control the amine:polymer ratio and process to remove excess amine reagent. Custom Ficoll preparations are available upon request. GE Healthcare’s trademark Ficoll is a highly branched, 400 kDa, hydrophilic polysaccharide widely used for blood separation.
Reference
- Inman, JK, Thymus-independent antigens: The preparation of covalent, hapten-Ficoll conjugates. J Imm. 114:705, 1975.
| Cat # | Product | Size |
|---|---|---|
| AFic400x100 | 100 Amines/400kDa Ficoll | 100 mg, 500 mg |
| AFic400x150 | 150 Amines/400kDa Ficoll | 100 mg, 500 mg |
| AFic400x300 | 300 Amines/400kDa Ficoll | 100 mg, 500 mg |
Biotin-Dextrans
| Product | Molecular Weight | Size |
|---|---|---|
| Biotin-dextran | 10 kDa | 25 mg, 100 mg |
| Biotin-dextran | 40 kDa | 25 mg, 100 mg |
| Biotin-dextran | 70 kDa | 25 mg, 100 mg |
| Biotin-dextran | 100 kDa | 25 mg, 100 mg |
| Biotin-dextran | 250 kDa | 25 mg, 100 mg |
| Biotin-dextran | 500 kDa | 25 mg, 100 mg |
| Biotin-dextran | 2000 kDa | 25 mg, 100 mg |
| Biotin-amino dextran | 10 kDa | 25 mg, 100 mg |
| Biotin-amino dextran | 40 kDa | 25 mg, 100 mg |
| Biotin-amino dextran | 70 kDa | 25 mg, 100 mg |
| Biotin-amino dextran | 100 kDa | 25 mg, 100 mg |
| Biotin-amino dextran | 250 kDa | 25 mg, 100 mg |
| Biotin-amino dextran | 500 kDa | 25 mg, 100 mg |
| Biotin-amino dextran | 2000 kDa | 25 mg, 100 mg |
| Biotin-Fluorescein dextran | 10 kDa | 25 mg |
| Biotin-Fluorescein dextran | 40 kDa | 25 mg |
| Biotin-Fluorescein dextran | 70 kDa | 25 mg |
| Biotin-Fluorescein dextran | 100 kDa | 25 mg |
| Biotin-Fluorescein dextran | 250 kDa | 25 mg |
| Biotin-Fluorescein dextran | 500 kDa | 25 mg |
| Biotin-Fluorescein dextran | 2000 kDa | 25 mg |
| Biotin-TMR-dextran | 10 kDa | 25 mg |
| Biotin-TMR-dextran | 40 kDa | 25 mg |
| Biotin-TMR-dextran | 70 kDa | 25 mg |
| Biotin-TMR-dextran | 100 kDa | 25 mg |
| Biotin-TMR-dextran | 250 kDa | 25 mg |
| Biotin-TMR-dextran | 500 kDa | 25 mg |
| Biotin-TMR-dextran | 2000 kDa | 25 mg |
Fluorescent Dextrans

Fluorescent dextrans have a wide variety of applications. The high water solubility, biocompatibility and range of functionalities make fluorescent dextrans ideal for many applications. They come in an array of molecular weights, fluorescent dyes, dye ratios and additional functional groups. Fluorescent dextrans from Fina Biosolutions use our well-characterized amino dextrans as their base.
This section also lists unique monofluorescent dextrans, which use our proprietary end-labeling chemistry to tag the polymer end with a single fluorescent group.
Fluorescent amino dextrans, also known as “fixable”, contain amino groups which can be reacted with crosslinking reagents such as glutaraldehyde. Fluorescent dextrans do not have any residual free amine groups.
Dextrans with other fluorescent dyes available as custom products.
Please contact us for custom dextran reagents.
Additional Information
* TMR: Tetramethylrhodamine-labeled
| Cat. No. | Product | Molecular Weight | Form | Size |
|---|---|---|---|---|
| Flu-Dex10K | Fluorescein-Dextran | 10 kDa | lyophilized | 25 mg, 100 mg |
| Flu-Dex20K | Fluorescein-Dextran | 20 kDa | lyophilized | 25 mg, 100 mg |
| Flu-Dex40K | Fluorescein-Dextran | 40 kDa | lyophilized | 25 mg, 100 mg |
| Flu-dex70K | Fluorescein-Dextran | 70 kDa | lyophilized | 25 mg, 100 mg |
| Flu-Dex250K | Fluorescein-Dextran | 250 kDa | lyophilized | 25 mg, 100 mg |
| Flu-dex500K | Fluorescein-Dextran | 500 kDa | lyophilized | 25 mg, 100 mg |
| Flu-dex2000K | Fluorescein-Dextran | 2000 kDa | lyophilized | 25 mg, 100 mg |
| Flu-Amdex10K | Fluorescein-Amino Dextran | 10 kDa | – | 25 mg |
| Flu-Amdex20K | Fluorescein-Amino Dextran | 20 kDa | – | 25 mg |
| Flu-Amdex40K | Fluorescein-Amino Dextran | 40 kDa | – | 25 mg |
| Flu-Amdex70K | Fluorescein-Amino Dextran | 70 kDa | – | 25 mg |
| Flu-Amdex 250K | Fluorescein-Amino Dextran | 250 kDa | – | 25 mg |
| Flu-Amdex500K | Fluorescein-Amino Dextran | 500 kDa | – | 25 mg |
| Flu-Amdex2000K | Fluorescein-Amino Dextran | 2000 kDa | – | 25 mg |
| mFlu-dex1.5K | Mono Fluorescein-Dextran | 1.5 kDa | lyophilized | 2 mg, 25 mg |
| mFlu-dex3.5K | Mono Fluorescein-Dextran | 3.5 kDa | lyophilized | 2 mg, 25 mg |
| mFlu-dex6K | Mono Fluorescein-Dextran | 6 kDa | lyophilized | 2 mg, 25 mg |
| mFlu-dex10K | Mono Fluorescein-Dextran | 10 kDa | lyophilized | 2 mg, 25 mg |
| mFlu-dex40K | Mono Fluorescein-Dextran | 40 kDa | lyophilized | 2 mg, 25 mg |
| mFlu-dex70K | Mono Fluorescein-Dextran | 70 kDa | lyophilized | 2 mg, 25 mg |
| mFlu-Dex250K | Mono Fluorescein-Dextran | 250 kDa | lyophilized | 2 mg, 25 mg |
| mFlu-Dex500K | Mono Fluorescein-Dextran | 500 kDa | lyophilized | 2 mg, 25 mg |
| TMR-dex10K | TMR-Dextran | 10 kDa | lyophilized | 25 mg, 100 mg |
| TMR-dex20K | TMR-Dextran | 20 kDa | lyophilized | 25 mg, 100 mg |
| TMR-dex40K | TMR-Dextran | 40 kDa | lyophilized | 25 mg, 100 mg |
| TMR-dex70K | TMR-Dextran | 70 kDa | lyophilized | 25 mg, 100 mg |
| TMR-dex250K | TMR-Dextran | 250 kDa | lyophilized | 25 mg, 100 mg |
| TMR-dex500K | TMR-Dextran | 500 kDa | lyophilized | 25 mg, 100 mg |
| TMR-dex2000K | TMR-Dextran | 2000 kDa | lyophilized | 25 mg, 100 mg |
| TMR-Amdex10K | TMR-Amino Dextran | 10 kDa | – | 25 mg |
| TMR-Amdex20K | TMR-Amino Dextran | 20 kDa | – | 25 mg |
| TMR-Amdex40K | TMR-Amino Dextran | 40 kDa | – | 25 mg |
| TMR-Amdex70K | TMR-Amino Dextran | 70 kDa | – | 25 mg |
| TMR-Amdex250K | TMR-Amino Dextran | 250 kDa | – | 25 mg |
| TMR-Amdex500K | TMR-Amino Dextran | 500 kDa | – | 25 mg |
| TMR-Amdex2000K | TMR-Amino Dextran | 2000 kDa | – | 25 mg |
| mTMR-dex1.5K | Mono TMR-Dextran | 1.5 kDa | lyophilized | 2 mg, 25 mg |
| mTMR-dex3.5K | Mono TMR-Dextran | 3.5 kDa | lyophilized | 2 mg, 25 mg |
| mTMR-dex6K | Mono TMR-Dextran | 6 kDa | lyophilized | 2 mg, 25 mg |
| mTMR-dex10K | Mono TMR-Dextran | 10 kDa | lyophilized | 2 mg, 25 mg |
| mTMR-dex40K | Mono TMR-Dextran | 40 kDa | lyophilized | 2 mg, 25 mg |
| mTMR-dex70K | Mono TMR-Dextran | 70 kDa | lyophilized | 2 mg, 25 mg |
| mTMR-Dex250K | Mono TMR-Dextran | 250 kDa | lyophilized | 2 mg, 25 mg |
| mTMR-Dex500K | Mono TMR-Dextran | 500 kDa | lyophilized | 2 mg, 25 mg |
Mono-Functionalized Dextrans

Monoamino dextrans and monocarboxyl dextrans are prepared by proprietary methods yielding a stable, monofunctionalized dextran, with a single functional group on the end of the polymer. The molecular weight profile is essentially unchanged, as determined by analytical size exclusion chromatography. Extensive processing and testing is performed to ensure that nonpolymer reagent is removed. This approach results in a consistent product with minimal lot-to-lot variation.
These monofunctionalized dextrans can be used much like PEG—it can be used to increase protein half-life, reduce immunogenicity, and passivate surfaces. They can be labeled with a single fluorescent group to make a well-defined tracer.
Monofluorescent dextrans are listed with fluorescent dextrans.
Monothiol dextran synthesized with a single protected thiol (dithiolpyridyl group) and mono “click” dextrans are available as custom products.
| Cat. No. | Product | Molecular Weight | Size |
|---|---|---|---|
| mA10 | Monoamino Dextran | 10 kDa | 100 mg, 500 mg |
| mAD40 | Monoamino Dextran | 40 kDa | 100 mg, 500 mg |
| mAD70 | Monoamino Dextran | 70 kDa | 100 mg, 500 mg |
| mAD110 | Monoamino Dextran | 100 kDa | 100 mg, 500 mg |
| mAD250 | Monoamino Dextran | 250 kDa | 100 mg, 500 mg |
| mAD500 | Monoamino Dextran | 500 kDa | 100 mg, 500 mg |
| mBiotDex10 | Mono Biotin Dextran | 10 kDa | 2 mg, 25 mg |
| mBiotDex40 | Mono Biotin Dextran | 40 kDa | 2 mg, 25 mg |
| mBiotDex70 | Mono Biotin Dextran | 70 kDa | 2 mg, 25 mg |
| mBiotDex250 | Mono Biotin Dextran | 250 kDa | 2 mg, 25 mg |
| mBiotDex500 | Mono Biotin Dextran | 500 kDa | 2 mg, 25 mg |
| mCD10 | Monocarboxyl Dextran | 10 kDa | 100 mg, 500 mg |
| mCD40 | Monocarboxyl Dextran | 40 kDa | 100 mg, 500 mg |
| mCD70 | Monocarboxyl Dextran | 70 kDa | 100 mg, 500 mg |
| mCD100 | Monocarboxyl Dextran | 100 kDa | 100 mg, 500 mg |
| mCD250 | Monocarboxyl Dextran | 250 kDa | 100 mg, 500 mg |
| mCD500 | Monocarboxyl Dextran | 500 kDa | 100 mg, 500 mg |
| – | Monothiol dextran | Inquire | 25 mg, 100 mg, 500 mg |
Multi-Functionalized Dextrans
We can provide multi-functionalized dextrans as custom products. These products are based on our proprietary chemistry for end-labeling dextrans.
As there are many combinations, most of our multi-functionalized dextrans are offered as custom products. Please inquire. We appreciate your suggestions for useful new products.

Mono functionalized- amino dextran
Examples: amino dextran containing a single carboxyl, thiol, biotin, squarate ester, click reagent, etc.
Mono functionalized- carboxy dextran
Examples: carboxy dextran containing a single amino, thiol, biotin, squamate ester, click reagent, etc.
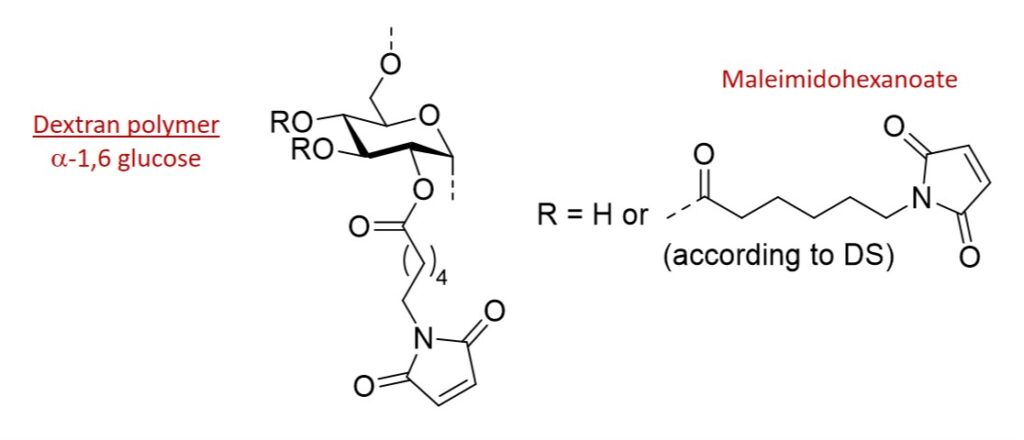
High Ratio Maleimide Dextrans

These products are synthesized using a different chemistry than our other modified dextrans. For these products, the maleimide is attached to the dextran via an ester linkage rather than an ether. Dextran functionalized with maleimido moieties is a very useful “ene” compound for thiol-Michael and radical thiol-ene reaction. 6 and 70 kDa maleimide dextrans are available at 0.2 and 1.2 maleimide/glucose (DS). Other molecular weights are available as custom synthesis.
| Cat # | Product | Molecular Weight | Maleimide/Glucose | Size |
|---|---|---|---|---|
| MAL-DEX6-0.2 | Dextran maleimidohexanoate | 6 kDa | 0.2 | 5 mg, 25 mg, 100 mg |
| MAL-DEX6-1.2 | Dextran maleimidohexanoate | 6 kDa | 1.2 | 5 mg, 25 mg, 100 mg |
| MAL-DEX70-0.2 | Dextran maleimidohexanoate | 70 kDa | 0.2 | 5 mg, 25 mg, 100 mg |
| MAL-DEX70-1.2 | Dextran maleimidohexanoate | 70 kDa | 1.2 | 5 mg, 25 mg, 100 mg |
Please contact us for any inquiries, questions, or information requests.
Tokyo Future Style, Inc.
info@tokyofuturestyle.com
TEL:029-851-9222 FAX:029-851-9220

